【此視頻課程與人教版第16課的知識點相同,同樣適用于魯教版第1課,敬請放心學習。】
課本內容
《分式的乘除法》
情境
問題1
一個長方形容器的容積為V,底面的長為a,寬為b,當容器內的水戰容積的m/n時,水高多少?
問題2
大拖拉機m天耕地a公頃,小拖拉機n天耕地b公頃,大拖拉機的工作效率是小拖拉機的工作效率的多少倍?
復習回顧
計算:(1)2/3x4/5 2/3÷4/5
分數的乘除法法則
兩個分數相乘,把分子相乘的積作為積的分子,把分母相乘的積作為積的分母。
兩個分數相除,把除式的分子分母顛倒位置后,再與被除式相乘。
例1 計算:
① 4x/3y·y/2x3
②ab3/2c2÷-5a2b2
例2 計算:
a2-4a+4/a2-2a+1 ·a-1/a2-4
1/49-m2÷1/m2-7m
想一想
下面的計算對嗎?如果不對,應該怎樣改正?
(1)-x/2b·6b/x2=3xb/x2b
(2)4x/3a÷a/2x=2/3
例3 計算:
2x/5x-3+3/25x2-9·x/5x-3
例4 “豐收1號”小麥的試驗田是邊長為a米的正方形減去一個邊長為1米的正方形蓄水池后余下的部分,“豐收2號”小麥的試驗田是邊長為(a-1)米的正方形,兩塊試驗田的小麥都收獲了500千克。
(1)哪種小麥的單位收獲了500千克。
(2)高的單位面積產量是低的單位面積產量的多少倍?
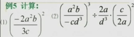
此內容正在抓緊時間編輯中,請耐心等待

王老師
女,中教高級職稱
省優秀教師,模范共產黨員,學校先進工作者。在教數學的同時,她也是和同學們一起學數學,一起用數學。