【此視頻課程與人教版第16課的知識點相同,同樣適用于華師大第16課,敬請放心學習?!?/font>
課程內容:
《分式的加減法》
問題1:甲工程隊完成一項工程需要n天,乙工程隊要比甲工程隊多用3天才能完成這項工程,兩隊共同工作一天完成這項工程的幾分之幾?
問題2:2001年,2002年,2003年某地的森林面積(單位:公頃)分別是S1,S2,S3。2003年與2002年相比,森林面積增長率提高了多少?
★回顧與思考
(1)2/7+3/7 (2)2/7-3/7
即:同分母分式相加減,分母不變,把分子相加減。
(3)2/3+1/4 (4)2/3-1/4
即:異分母分式相加減,先通分,變為同分母的分式,再加減。
例1.計算:
做一做:嘗試完成下列各題:
(1) (2)
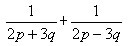
例2.計算
試一試:計算
(1) (2)
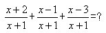
練一練:1.下列運算對嗎?如不對,請改正:
(1) (2)
2.計算:
(1) (2)
例3.物理學上的應用
在圖中的電路中,已測定CAD支路的電阻是R1歐姆,又知CBD支路的電阻R2比R1大50歐姆,根據電學的有關規律可知總電阻R與R1、R2滿足關系式如下。試用含有R1的式子表示總電阻R。
例4.計算:
課后練習:
1. 2.
此內容正在抓緊時間編輯中,請耐心等待

王老師
女,中教高級職稱
省優秀教師,模范共產黨員,學校先進工作者。在教數學的同時,她也是和同學們一起學數學,一起用數學。