課程內容:
《整式的除法》
例1:木星的質量約是1.9×1024噸,地球的質量約是5.98×1021噸,你知道木星的質量約為地球質量的多少倍嗎?
(1.90×1024)÷(5.98×1021)
討論:(1)計算(1.90×1024)÷(5.98×1021),說說你計算的依據是什么?
(2)你能利用(1)中的方法計算下列各式嗎?
8a3÷2a; 6x3y÷3xy;12a3b2x3÷3ab2
(3)你能根據(2)說說單項式除以單項式的運算法則嗎?
歸納:單項式相除,把系數與同底數冪分別相除作為商的因式,對于只在被除式,對于只在被除式例含有的字母,則連同它的指數作為商的一個因式。
例2:計算
(1)28x4y2÷7x3y; (2)-5a5b3c÷15a4b
練習:
1.計算
(1)10ab3÷(-5ab); (2)-8a2b3÷6ab2;
(3)-21x2y4÷(-3x2y3); (4)(6×108)÷(3×105)
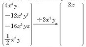
2.把圖中左邊括號里的每一個式子分別除以2x2y,然后把商式寫在右邊括號里。
討論:計算下列各式,說說你是怎樣計算的?
(1)(am+bm)÷m;(2)(a2+ab)÷a;(3)(4x2y+2xy2)÷2xy
歸納:多項式除以單項式,先把這個多項式的每一項除以這個單項式,再把所得的商相加。
例3:計算:
(1)(12a3-6a2+3a)÷3a;
(2)(21x4y3-35x3y2+7x2y2)÷(-7x2y);
(3)[(x+y)2-y(2x+y)-8x]÷2x
練習:計算
(1)(6xy+5x)÷x; (2)(15x2y-10xy2)÷5xy;
(3)(8a2-4ab)÷(-4a); (4)(25x3+15x2-20x)÷(-5x)。
此內容正在抓緊時間編輯中,請耐心等待

尚老師
男,中教高級職稱
長期從事中學數學教學工作,重視學生對知識的理解與運用,市優秀教師、骨干教師,數學學科帶頭人。